Предмет: Физика,
автор: bashirovsaidali
На поверхность зеркального шара падают два параллельных луча света, лежащие в плоскости, проходящей через его центр. Расстояние между лучами a=1 см. Известно, что при отражении от поверхности шара один из лучей отклоняется от первоначального направления на угол α=90°, а другой — на угол β=60°. Найдите радиус R шара.
Ответы
Автор ответа:
5
Ответ:6,3
Объяснение:
Автор ответа:
17
Ответ:
6.3
Объяснение:
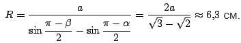
Ход луча, падающего на шар на некотором расстоянии l от оси, параллельной лучу и проходящей через центр шара, изображен на рисунке, где v - угол падения, a - угол отклонения луча от первоначального направления. Видно, что a+2v=*Пи*, l=Rsinv. Отсюда получаем формулу, связывающую расстояние l от луча до оси и a угол отклонения луча: рис 1. Из этой формулы следует, что заданное в условии расстояние между двумя параллельными лучами, падающими на шар, выражается как: рис 2. Отсюда получаем ответ: рис 3
Приложения:
Похожие вопросы
Предмет: Русский язык,
автор: elenasermjagin
Предмет: Русский язык,
автор: maka060686
Предмет: Русский язык,
автор: Аня777111
Предмет: Литература,
автор: kuk245245