Предмет: Математика, автор: afterdied

ответ и решение пж пж пж

Приложения:

Ответы

Автор ответа: kurasbaiasemaskhatky
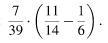
1

вот ответ и решение

всем удачи

Приложения:
Похожие вопросы
Предмет: Русский язык, автор: Юля58
Помогите найдите в тексте 5 деепричастий и разберите их как морфологический разбор
Каштанка съела много,но не наелась,а только опьянела от еды.После обеда она разлеглась среди комнаты,протянула ноги и, чувствуя во всём теле приятную истому ,завиляла хвостом
Пока ее новый хозяин развалившись в кресле курил сигарету она виляла хвостом и решила вопрос где лучше ей у не знакомца или у столяра? У не знакомца обстановка бедная и не красивая кроме кресел дивана лампы и ковров у него нету ничего и комната кажется пустою у столяра же вся квартира битком набита вещами у него есть стол верстак куча стружек рубанки стамески пилы клетка с чижиком лохань у незнакомца не пахнет ни чем у столяра же в квартире всегда стоит туман и в великолепно пахнет клеем лаком и стружками
Зато у незнакомца есть одно очень важное преимущество он дает много есть и надо отдать ему полную справедливость когда Каштанка сидела перед столом и умильно глядела на него он ни разу не ударил ее.
Срочно прошу напишите ответ как можно скорее пожалуйста ^^
Предмет: Другие предметы, автор: gpr812
Предмет: Математика, автор: Lfjrheje