Предмет: Математика,
автор: ayshenkerimova2004
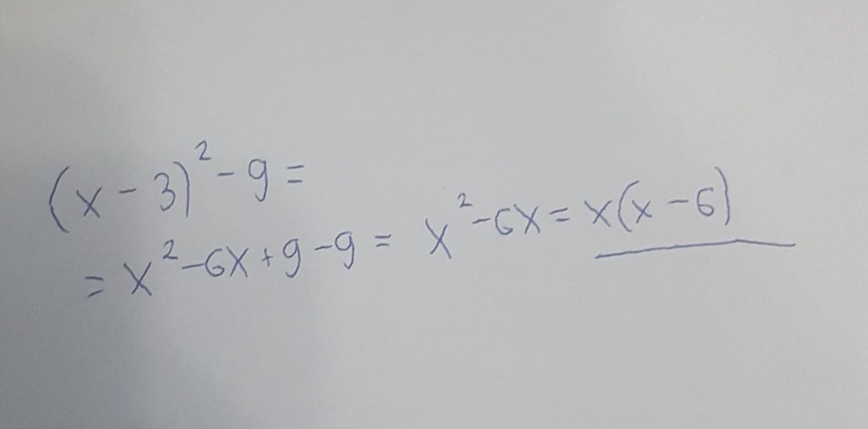
11 Разложите на множители.
Приложения:
Ответы
Автор ответа:
2
Пошаговое объяснение:
!!!!!!!!!!!!!!!!!!!!!!!!!!
Приложения:
Похожие вопросы
Предмет: Другие предметы,
автор: masyagsv
Предмет: Английский язык,
автор: 1010LifeToni1010
Предмет: Українська мова,
автор: vdv17
Предмет: Математика,
автор: 0K0k716985
Предмет: Математика,
автор: песок2