Предмет: Алгебра,
автор: ninagordeeva
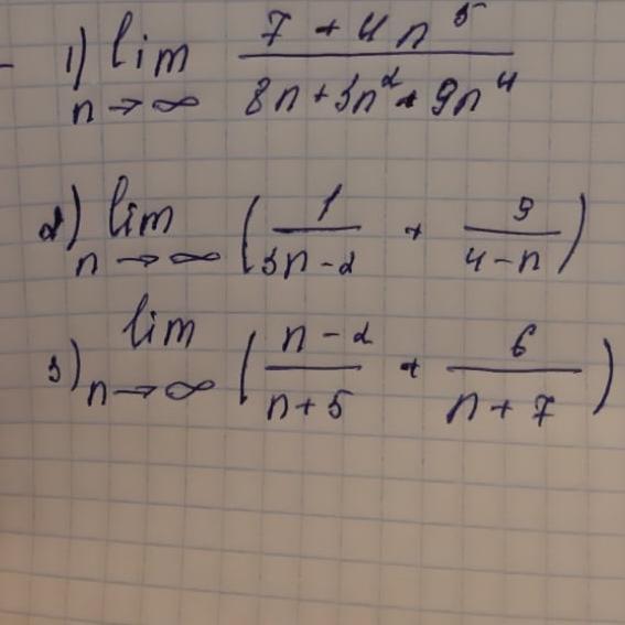
Помогите пожалуйста!!!!
Приложения:
Ответы
Автор ответа:
1
скачайте приложение Photomath
ninagordeeva:
Хорошо
Похожие вопросы
Предмет: Английский язык,
автор: murashova97
Предмет: Русский язык,
автор: and84548795
Предмет: Английский язык,
автор: anna220487
Предмет: История,
автор: новичок556
Предмет: Математика,
автор: леоа2