Предмет: Геометрия,
автор: busuevdaniil072
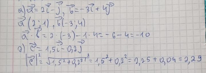
Даны векторы а=2i-j, b=-3i+4j и c=1,5i-0,2j. Найдите: а) скалярное произведение векторов а и b ; б) скалярный квадрат вектора с
Ответы
Автор ответа:
50
Вот ответ,все правильно.
Приложения:
Похожие вопросы
Предмет: Английский язык,
автор: elenaalixanova
Предмет: Русский язык,
автор: Аноним
Предмет: Русский язык,
автор: joker228eginov
Предмет: Алгебра,
автор: manuk78