Предмет: Математика, автор: ChiStS

Решите предел. Подробно!

Приложения:

Ответы

Автор ответа: igorShap
4

Ответ:

2

Пошаговое объяснение:

В силу непрерывности e^x, верно равенство \lim\limits_{x\to a} e^{f(x)}=e^{\lim\limits_{x\to a}  f(x)}

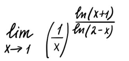
\lim\limits_{x\to 1} \left( \dfrac{1}{x}\right)^\dfrac{ln(x+1)}{ln(2-x)}}=\lim\limits_{x\to 1} e^{\big\ln\left( \dfrac{1}{x}\right)^\dfrac{ln(x+1)}{ln(2-x)}}}=e^{\big{\lim\limits_{x\to 1} }\big\ln\left( \dfrac{1}{x}\right)^\dfrac{ln(x+1)}{ln(2-x)}}}=\\ e^{\big{\lim\limits_{x\to 1} }\dfrac{ln(x+1)}{ln(2-x)}*\big\ln\left( \dfrac{1}{x}\right)}=(*)  

\big{\lim\limits_{x\to 1} }\dfrac{ln(x+1)}{ln(2-x)}\ln\left( \dfrac{1}{x}\right)=\ln2*\big{\lim\limits_{x\to 1} }\dfrac{\ln\left( \dfrac{1}{x}\right)}{ln(2-x)}= - \ln2*\big{\lim\limits_{x\to 1} }\dfrac{\ln x}{ln(2-x)}=[0/0]= - \ln2*\big{\lim\limits_{x\to 1} }\dfrac{\frac{1}{x}}{-\frac{1}{2-x}}= - \ln2*\big{\lim\limits_{x\to 1} }\dfrac{x-2}{x}= - \ln2*(-1)=ln2

(*)=e^{ln2}=2

Похожие вопросы
Предмет: Русский язык, автор: lopata2002
Предмет: Математика, автор: Диана2425
Предмет: Алгебра, автор: seloverlord