Предмет: Алгебра,
автор: Saniina401
БЫСТРО ПОЖАЛУЙСТА Представь в виде куба одночлен
и заполни пропуски.
Ответ:
Приложения:
Ответы
Автор ответа:
5
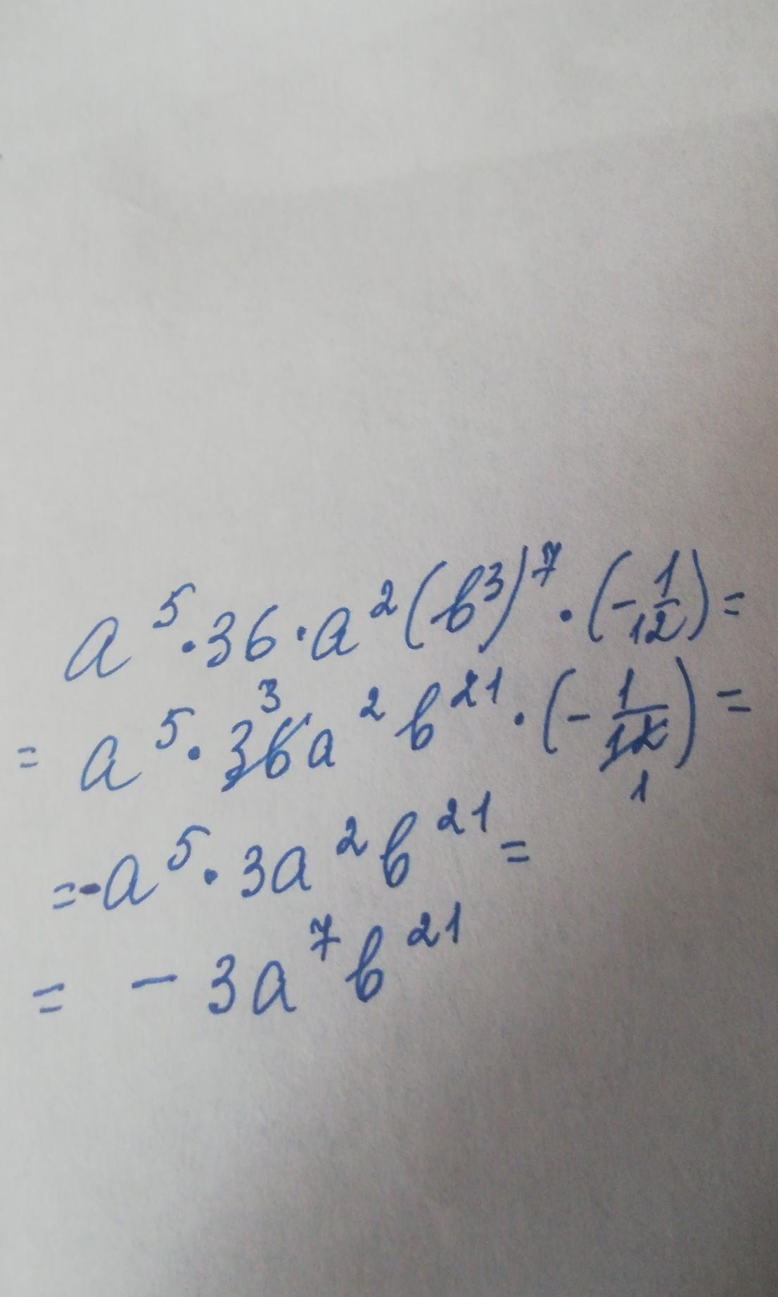
Ответ:
Смотри решение на фото
Приложения:
serovaksusa1:
напиши мне, правильный ответ или нет
всё правильно спасибо
Супер! Спасибо, всё правильно. Кто это будет читать: Где ответ пишем -3, где "а" пишем 7, где "b" пишем 21.
ответ :-3а в седьмой степени b в 21 степени
так понятно?
Похожие вопросы
Предмет: Английский язык,
автор: alstrizh2003
Предмет: Английский язык,
автор: irinamiller201
Предмет: Українська мова,
автор: лизавета2007
Предмет: Математика,
автор: yulechkabystro
Предмет: География,
автор: Ulianasyper