Предмет: Алгебра,
автор: Tur1001
Решите пожалуйста!!!!
Приложения:
Ответы
Автор ответа:
1
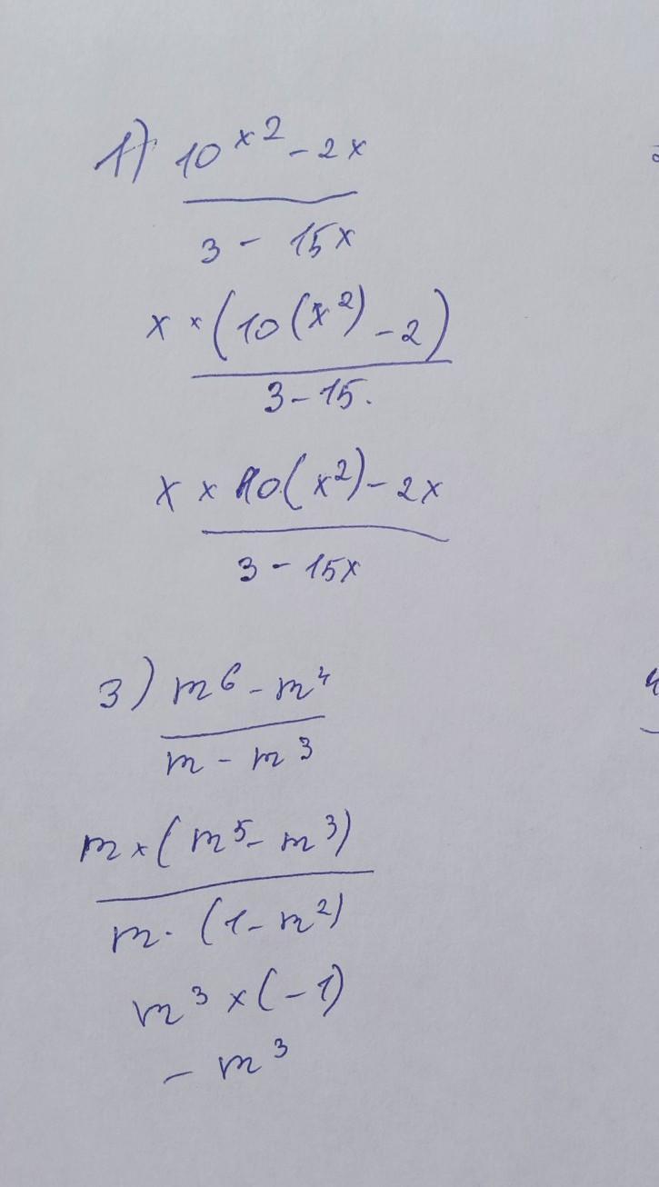
Объяснение:
ответ точно правильно
Приложения:
Похожие вопросы
Предмет: Другие предметы,
автор: ольгаорлова
Предмет: Русский язык,
автор: baulin1996
Предмет: Русский язык,
автор: ПульсирующийМажичок
Предмет: Математика,
автор: iaroslavmoskvin
Предмет: География,
автор: sssss90