Предмет: Алгебра,
автор: mya745
помогите срочно пожалуйста)))
Приложения:
Ответы
Автор ответа:
1
Ответ:
Я буду брать варианты ответов по номерам: Первый - номер 1, второй - номер 2 и т.д. Итого 8 вариантов.
а) = 5 = 6
б) = 3 = 2
в) = 8 = 4
г) = 1 = 7
Объяснение:
mya745:
спасибо
Автор ответа:
0
Ответ:
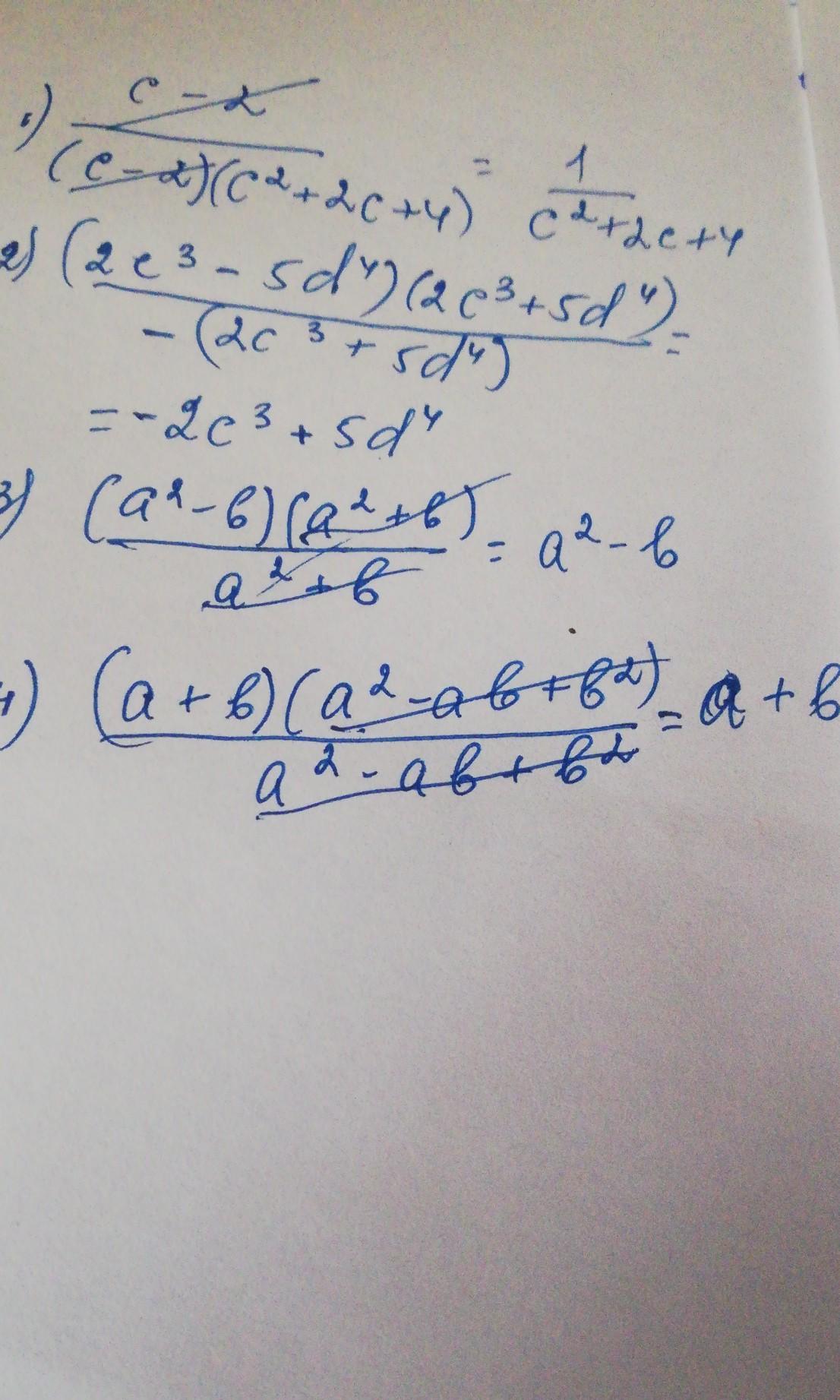
Смотри решение на фото
Приложения:
там в профиле еще есть задания, надеюсь поможешь)
ещё какие - то делать?
да
Похожие вопросы
Предмет: Русский язык,
автор: kaznaheeva03
Предмет: Английский язык,
автор: 2013sss
Предмет: Русский язык,
автор: antsiferova198
Предмет: Математика,
автор: maminaprintsess