Предмет: Алгебра,
автор: shirot
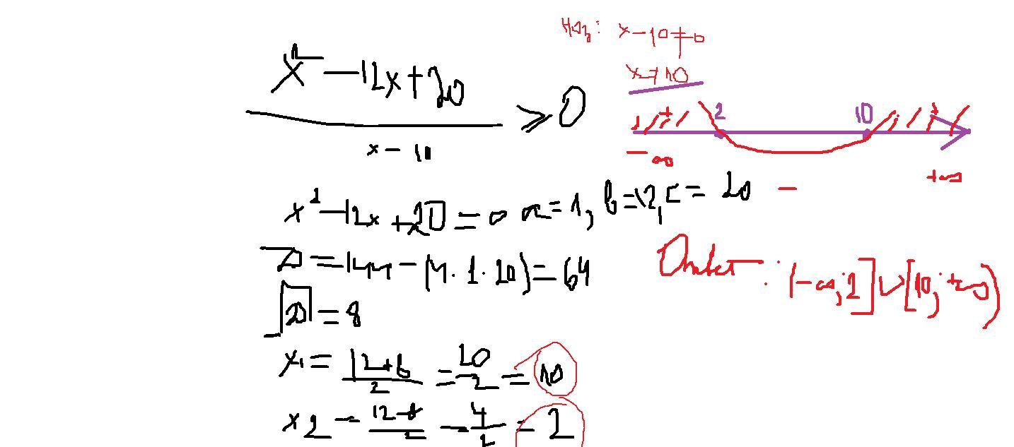
x^2-12x+20/x-10>=0
Решите пж
Ответы
Автор ответа:
2
Объяснение:
x^2-2x-10x+20/x-10>0
x(x-2)-10(x-2)/x-10>0
x-2>0
x>2
x не равно 10
х принадлежит (2,10)(10,+бесконечности)
Автор ответа:
0
Ответ:
Посмотрите ниже
Объяснение:
Извините, что так смазано получилось, надеюсь, что помогла
Если что ответ получился (минус бесконечность;2 ∪
10; плюс бесконечность)
Приложения:
Похожие вопросы
Предмет: Русский язык,
автор: Маргошка203
Предмет: Русский язык,
автор: kobcevann
Предмет: Английский язык,
автор: dikaa12
Предмет: География,
автор: koteika607
Предмет: Литература,
автор: yvrosheri2404