Предмет: Математика, автор: rina893840

Используя свойство делимости суммы,найдите значение выражения ​

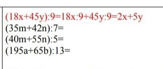
Приложения:

Ответы

Автор ответа: 19011826
1

=35m:7 + 42n:7= 5m+6n

=40m:5+55n:5=8m+11n

=195a:13+65b:13=15a+5b

Похожие вопросы
Предмет: Русский язык, автор: wickedsick19
Прочитайте начало двух выступлений. Определите вид каждой речи. Допишите каждое выступление.
1
Новый год для студентов, особенно первокурсников, радостен уже потому, что несёт как дорогой подарок – сессию.
Ведь сессия – это соревнование между экзаменатором и экзаменующимся в том, кто, что, кому докажет. Иногда побеждает преподаватель, которому удается убедить сдающего, что он что-то знает и заслуживает положительной оценки. Но бывает и обратное: победителем оказывается студент, который успешно и аргументированно доказывает, что он мало знает и рад будет повторить приятную для обоих встречу. Замечу, деканат второй вариант не одобряет.
2
Кого из вас удивят такие сентенции: «К несчастью, мир теперь не таков, каким был прежде. Все хотят писать книги, и дети не слушаются родителей»? Уверена, все с этим согласны. Однако написано это на знаменитом «Папирусе Присса» шесть тысяч лет тому назад.
Вот пример «вечной» проблемы, проблемы «отцов и детей».
Помимо вечных проблем, каждая эпоха ставит перед человечеством проблемы специфические, характерные для данного времени.
Что же это за проблемы?
Предмет: Математика, автор: ashnina2005