Предмет: Алгебра,
автор: yg202417m
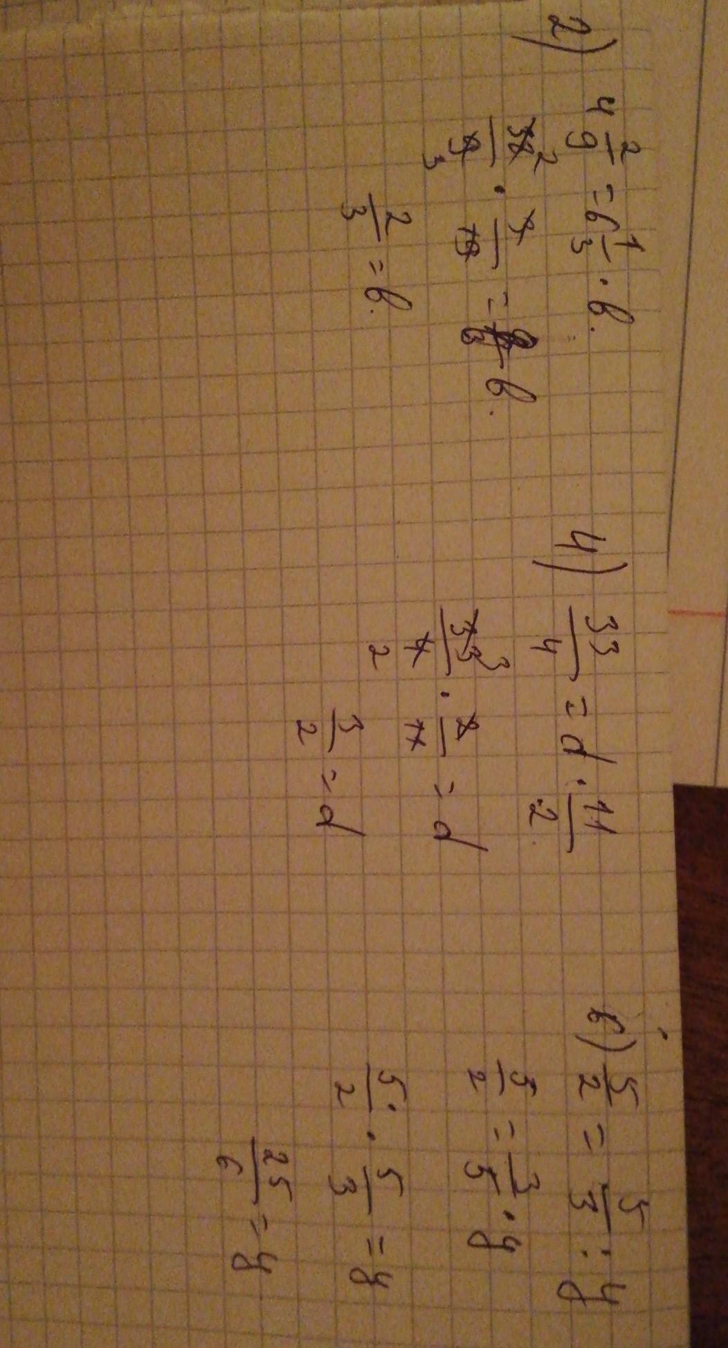
помогите пожалуйста ♥️ очень сильно нужно
Приложения:
Ответы
Автор ответа:
1
Ответ:
дұрыстығын блмим вроде осылай
Приложения:
yg202417m:
рахмат
Похожие вопросы
Предмет: Русский язык,
автор: Алина170102
Предмет: Другие предметы,
автор: vika2000engraf
Предмет: Русский язык,
автор: avdeevarazalina
Предмет: Алгебра,
автор: natalka070
Предмет: Алгебра,
автор: Vika291p