Предмет: Алгебра,
автор: egorovanasta476
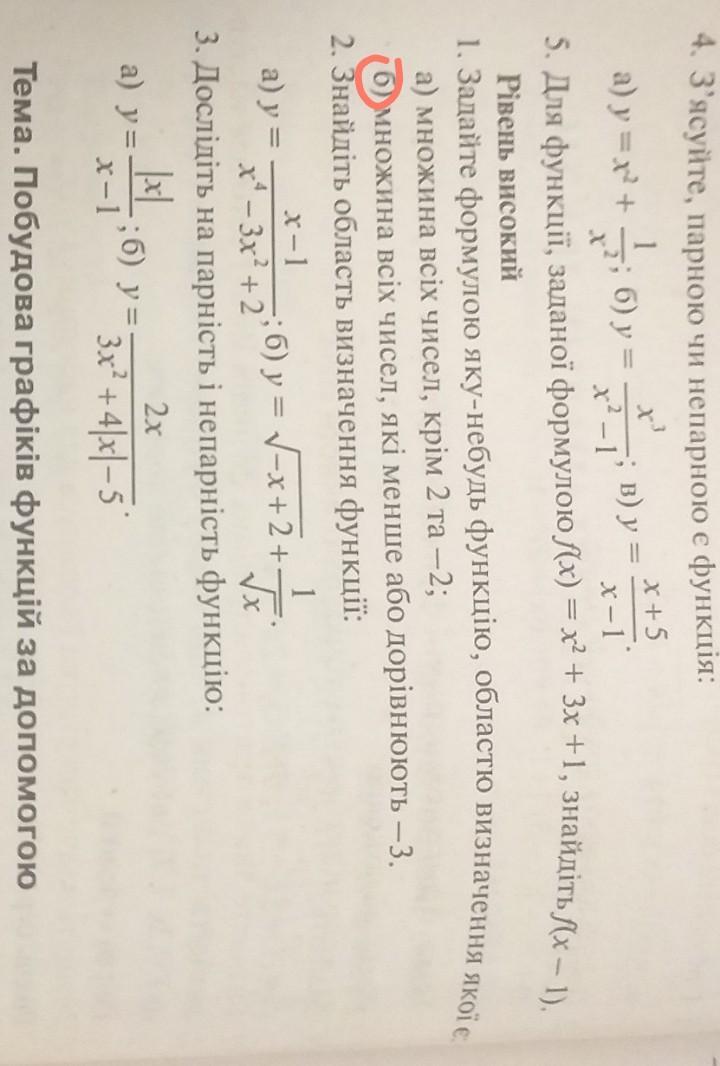
Допоможіть вирішити виділене
Приложения:
Ответы
Автор ответа:
1
Ответ:
Объяснение:
Похожие вопросы
Предмет: Русский язык,
автор: mikhina1985
Предмет: Русский язык,
автор: MelkayN
Предмет: Русский язык,
автор: Лизуточка
Предмет: Математика,
автор: Limbo206