Предмет: Математика,
автор: jdhcndjjsms
помогите
срочноо
пжпж
Приложения:
Ответы
Автор ответа:
0
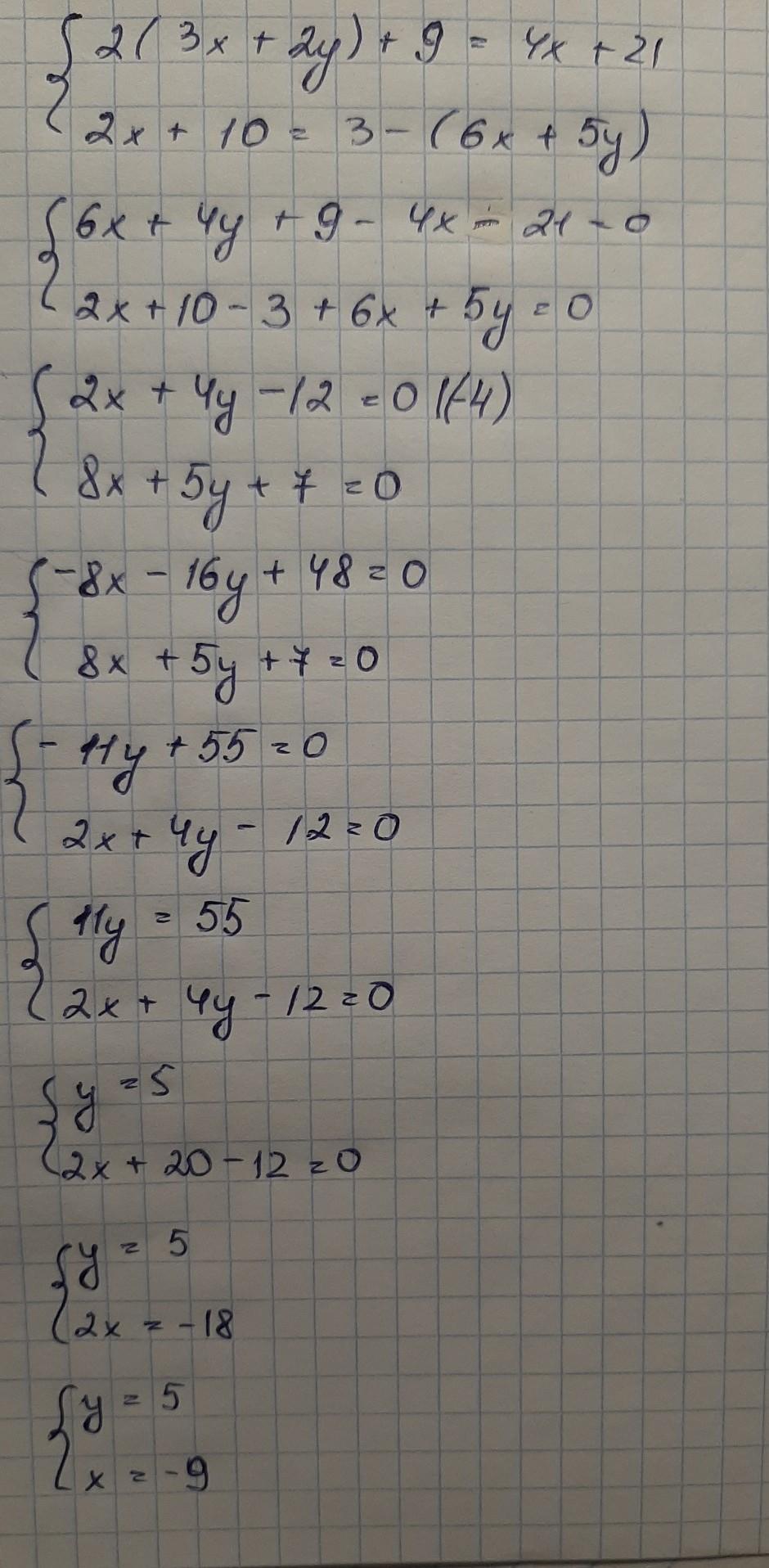
Ответ:
надеюсь, что правильно
Приложения:
Похожие вопросы
Предмет: Русский язык,
автор: rtel500
Предмет: Русский язык,
автор: elenafilippovn
Предмет: Українська мова,
автор: Zarudze74
Предмет: Алгебра,
автор: СлаваSLOVO
Предмет: Математика,
автор: Аноним