Предмет: Математика, автор: AiwanKozlow123

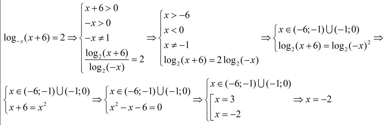
Как правильно это решить?

Приложения:

Ответы

Автор ответа: palilov243659
1

Ответ:

Пошаговое объяснение:

во вложении

Приложения:
Похожие вопросы
Предмет: Русский язык, автор: VladislavRM
Ребята, помогите пожаоуйста, очень надо! Решается моя оценка!
Как вы понимаете фразу
"Свойство ночных огней -приближаться, побеждая тьму, и сверкать , и обещать , и манить своею близостью . Кажется,вот-вот еще два-три удара веслом ,- и пусть кончен. А между тем далеко!"
Вот текст
Как-то давно, темным осенним вечером, случилось мне плыть по угрюмой
сибирской реке. Вдруг на повороте реки, впереди, под темными горами мелькнул
огонек.
Мелькнул ярко, сильно, совсем близко...
- Ну, слава богу! - сказал я с радостью, - близко ночлег!
Гребец повернулся, посмотрел через плечо на огонь и опять апатично
налег на весла.
- Далече!
Я не поверил: огонек так и стоял, выступая вперед из неопределенной
тьмы. Но гребец был прав: оказалось, действительно, далеко.
Свойство этих ночных огней - приближаться, побеждая тьму, и сверкать, и
обещать, и манить своею близостью. Кажется, вот-вот еще два-три удара
веслом, - и путь кончен... А между тем - далеко!..
И долго мы еще плыли по темной, как чернила, реке. Ущелья и скалы
выплывали, надвигались и уплывали, оставаясь назади и теряясь, казалось, в
бесконечной дали, а огонек все стоял впереди, переливаясь и маня, - все так
же близко, и все так же далеко...
Мне часто вспоминается теперь и эта темная река, затененная скалистыми
горами, и этот живой огонек. Много огней и раньше и после манили не одного
меня своею близостью. Но жизнь течет все в тех же угрюмых берегах, а огни
еще далеко. И опять приходится налегать на весла...
Но все-таки... все-таки впереди - огни!..
Пожалуйстааа, что-то вроде сочинения напишите, буду очень благодарен