Предмет: Математика,
автор: feniks63
Здравствуйте ! Помогите сделать ДЗ по математике .Основное свойство дроби .√30,√33
Приложения:
ponci1k:
задание какой?
Ответы
Автор ответа:
0
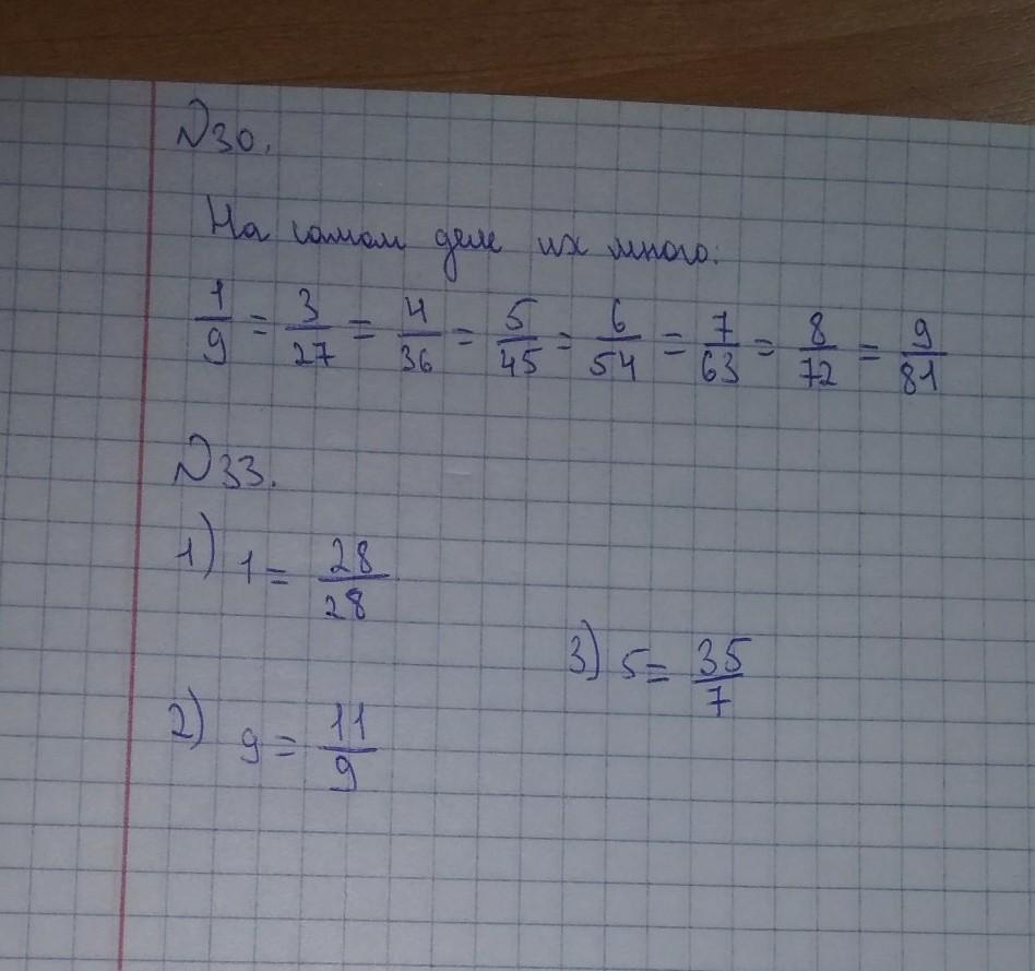
Ответ:
думаю понятно
Пошаговое объяснение:
........
Приложения:
спасибо большое
незачто)
Ой извини перепутал :(
Похожие вопросы
Предмет: Русский язык,
автор: nikita220906
Предмет: Другие предметы,
автор: maxika
Предмет: Русский язык,
автор: egorova11
Предмет: Геометрия,
автор: fdidodp
Предмет: Алгебра,
автор: makhagan