Предмет: Алгебра,
автор: Marina23456zufixi
Помогите пожалуйста)))))
Приложения:
Ответы
Автор ответа:
0
Ответ:
Объяснение:
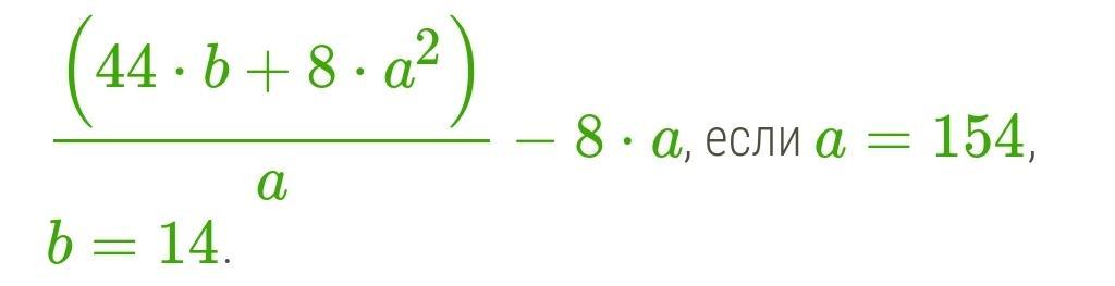
=(44b+8a^2-8а^2) / а=44b/a
44*14 / 154=4
Автор ответа:
0
Объяснение:
упрощаешь уравнение, подставляешь
Приложения:
Похожие вопросы
Предмет: Другие предметы,
автор: lululilovo
Предмет: Русский язык,
автор: andreywww2007
Предмет: Русский язык,
автор: sharifguseynov
Предмет: Математика,
автор: Vladislav1070
Предмет: Литература,
автор: КатяФоксмур