Предмет: Математика,
автор: kalina2001list
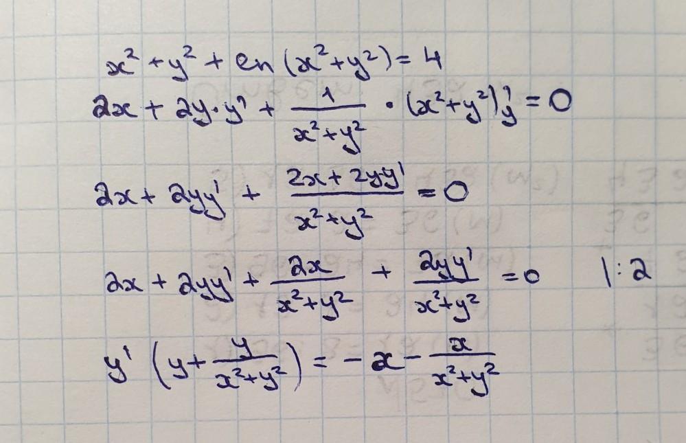
Найти производную dy/dx от неявной функции, заданной уравнением
x^2+y^2+ln(x^2+y^2) =4
Подскажите просто шаги действий для решения
Ответы
Автор ответа:
0
Ответ:
решение на фотографиях
Приложения:
Похожие вопросы
Предмет: Английский язык,
автор: nastya071199
Предмет: Қазақ тiлi,
автор: Хах576868
Предмет: Русский язык,
автор: 2004kycher
Предмет: Физика,
автор: Новогрудок
Предмет: Геометрия,
автор: nikita80721