Предмет: Химия,
автор: Nastysha011195
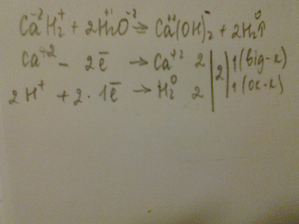
Расставить коэффициенты методом электронного баланса. Написать где окислитель, где восстановитель.
PbS+H2O2 = PbSO4 + H2O.
CaH2 + 2H2O = Ca(OH)2+2H2.
Ответы
Автор ответа:
0
Переше взагалі якесь незрозуміле а друге ось
Приложения:
Автор ответа:
0
дякую!!!
Похожие вопросы
Предмет: География,
автор: rlld14727
Предмет: Математика,
автор: yasamadali2009
Предмет: Другие предметы,
автор: ulanabatineva2
Предмет: Обществознание,
автор: Advoket
Предмет: Геометрия,
автор: lizabro