Предмет: Геометрия,
автор: pomogiteeee4838
ПОМОГИТЕЕЕЕЕЕЕЕ ПОЖАЛУЙСТА КТО НИБУДЬ ПРОШУ ОТЗОВИТЕСЬ ПОЖАЛУЙСТА ОТВЕТЬТЕ ПОМОГИТЕ !!!!!!!!!!!!!!!!!!
Приложения:
Ответы
Автор ответа:
1
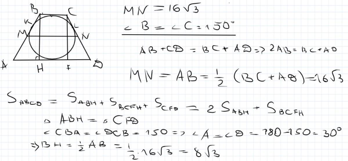
вот........................
Приложения:
pomogiteeee4838:
привет
можешь пожалуйста другую задачу тоже решить
посмотри в вопросы, она там ...
Автор ответа:
1
Ответ:
Объяснение:
Если в трапецию вписана окружность, то сумма ее оснований равна сумме боковых сторон.
Приложения:
Похожие вопросы
Предмет: Русский язык,
автор: LеRуNя
Предмет: Русский язык,
автор: salexara
Предмет: Русский язык,
автор: prusova81
Предмет: Математика,
автор: крутая116
Предмет: Литература,
автор: Алексей02085