Предмет: Физика,
автор: danikkryt
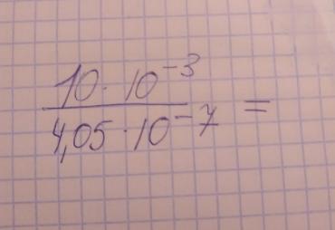
Физика. Решите пожалуйста степени. Спасибо!
P.S и можно пожалуйста с объяснением решения)
Приложения:
Ответы
Автор ответа:
1
Ответ:
24690
подробнее на листочке)
Приложения:
Похожие вопросы
Предмет: Русский язык,
автор: munhuu09
Предмет: Русский язык,
автор: kotelnikova74
Предмет: Английский язык,
автор: СамаяСамaя
Предмет: Алгебра,
автор: xshon77777