Предмет: Алгебра,
автор: charliemoon113
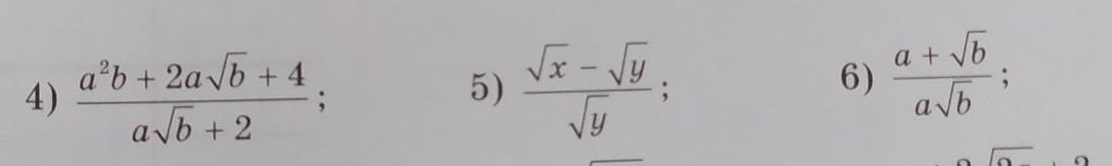
Избавьтесь от иррациональности в знаменателе дроби.
Приложения:
Ответы
Автор ответа:
1
Ответ:
решение смотри на фотографии
Объяснение:
Приложения:
Похожие вопросы
Предмет: Русский язык,
автор: tokarevalu11
Предмет: Русский язык,
автор: valentinayasche
Предмет: Русский язык,
автор: mill777
Предмет: Алгебра,
автор: alex0p9