Предмет: Алгебра,
автор: polinaross06
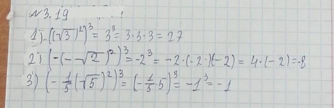
3.19 Вычислите:
Плиииииз
Приложения:
bota4565:
незнаю
Ответы
Автор ответа:
16
Если что-то будет не понятно - пиши в комментариях к ответу
Приложения:
4 есть
??
у меня нету такого учебника, поэтому нету)
Похожие вопросы
Предмет: Русский язык,
автор: gashapa
Предмет: Английский язык,
автор: IraWay
Предмет: Русский язык,
автор: анелия2003
Предмет: Геометрия,
автор: parvina1977
Предмет: Литература,
автор: aleksandra140684