Предмет: Алгебра,
автор: sonyaplay705
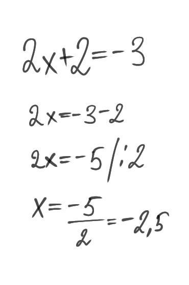
2x+2=-3 помогите пожалуйста разобраться
Ответы
Автор ответа:
0
- - - - - - - - - - - - - -
Приложения:
Похожие вопросы
Предмет: Другие предметы,
автор: iralida78
Предмет: Русский язык,
автор: котиk
Предмет: Английский язык,
автор: vecsel09
Предмет: Математика,
автор: olesyapavlova1
Предмет: География,
автор: iyudmila1