Предмет: Алгебра,
автор: kolupaevavalentina1
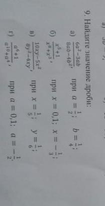
решите пожалуйста быстрее
Приложения:
Ответы
Автор ответа:
0
Решение во вложении........
Приложения:
Похожие вопросы
Предмет: Русский язык,
автор: vlada080202
Предмет: Английский язык,
автор: Zoooi
Предмет: Английский язык,
автор: Zoooi
Предмет: Математика,
автор: niqush20