Предмет: Алгебра,
автор: angelinasokolova194
пожалуйстаааа помогите с алгеброй
Приложения:
aselyadg:
Это все надо решить?
хоть что_
хоть что-нибудь
Хорошо
спасибо добрый человек♥️
Ответы
Автор ответа:
1
Ответ:
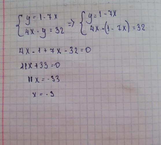
У меня щас дела так что тока одну решила
Приложения:
Похожие вопросы
Предмет: Русский язык,
автор: ordovindanya
Предмет: Русский язык,
автор: 1303081216
Предмет: Русский язык,
автор: Vlsov235678
Предмет: Алгебра,
автор: asliddinkhuzha1
Предмет: Математика,
автор: yuliyakornienk