Предмет: Алгебра,
автор: edilzhan19
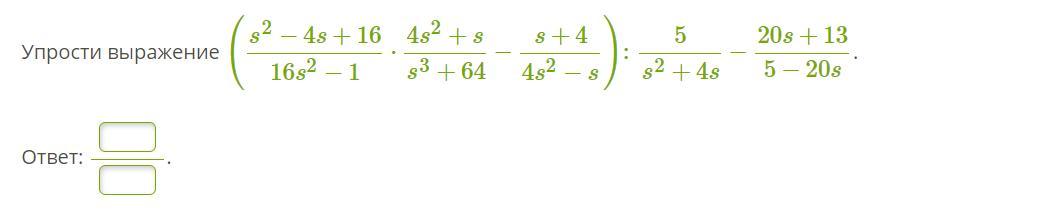
Упрости выражение пж 23 балла
Приложения:
Ответы
Автор ответа:
1
Ответ:
3
—
5
всё
ответ правильный
Похожие вопросы
Предмет: Русский язык,
автор: trofimowayana
Предмет: Русский язык,
автор: elm20031
Предмет: Русский язык,
автор: limon31
Предмет: Физика,
автор: pavel1733
Предмет: География,
автор: JustDreamer