Предмет: Физика,
автор: viktoriahalapina0
помогите пожалуйста даю 20 баллов
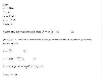
найдите силу каторую показывает динамометр если на динамометре опускается вертикально груз массой 10кг , так что его скорость изменилась за 5 секунд от 2 до 12 м/с
Ответы
Автор ответа:
1
Ответ:
Объяснение:
Дай последний раз лучшего)
Приложения:
Похожие вопросы
Предмет: Другие предметы,
автор: cerik0106
Предмет: Английский язык,
автор: offracoon31
Предмет: Русский язык,
автор: avalonrus
Предмет: Математика,
автор: PS3PGR