Предмет: Алгебра,
автор: storm1119
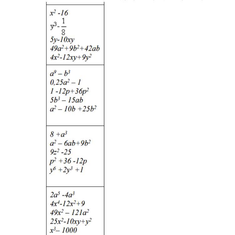
Помогите, пожалуйста, разложить на множители
Приложения:
Ответы
Автор ответа:
2
Ответ:
(х-4)(х+4)
(у-0.5)(у²+0.5у+0.5²)
5у(1-2х)
(7а+3в)²
(2х-3у)²
?
(0.5а-1)(0.5а+1)
(6р-1)²
5в(в²-3а)
(а+5в)²
(а+2)(а²+2а+4)
(а-3в)²
(3z-5)(3z+5)
(p-6)²
(y³+1)²=((y+1)(y²+y+1))²
2a³(a²-2)
(2x²-3)²
(7x-11a)(7x+11a)
(5x-y)²
(x-10)(x²+10x+100)
Похожие вопросы
Предмет: Українська мова,
автор: 2005n
Предмет: Русский язык,
автор: kotova142014
Предмет: Українська мова,
автор: 777vktor
Предмет: Физика,
автор: glebfrontir
Предмет: Алгебра,
автор: 93931