Предмет: Алгебра, автор: kaknazvatbitch

дайте пожалуйста ответ​

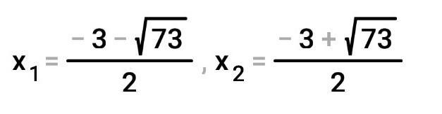
Приложения:

Ответы

Автор ответа: lysenkovtimur24
2

Ответ:

-1

Объяснение:

\frac{x^{2}-1 }{x-5}  при х= -3

\frac{(-3)^{2} -1}{-3-5} =\frac{8}{-8}=-1

Автор ответа: sohanovmurat59
1

Ответ:

сразу ответ..............

Приложения:
Похожие вопросы
Предмет: Русский язык, автор: MalikaRizaeva
Предмет: Биология, автор: rustemhadiev02
Предмет: Биология, автор: 386451803442