Предмет: Алгебра,
автор: aleksandrrusul
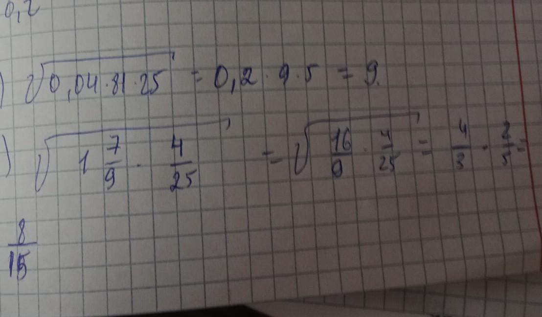
Найдите значение выражения и найдите значение корня. Помогите пожалуйста! Даю 50 баллов.
Приложения:
Ответы
Автор ответа:
1
Ответ:
не сложно очень лёгкая упражнения
Приложения:
Автор ответа:
1
Ответ:
такие примеры лучше решать в приложении photomatch
Приложения:
Похожие вопросы
Предмет: Русский язык,
автор: evababe03
Предмет: Русский язык,
автор: Avra23
Предмет: Українська мова,
автор: lukyanov99
Предмет: Математика,
автор: vlad1290
Предмет: Математика,
автор: lorddragen1