Предмет: Математика,
автор: mihayylovmatveyy
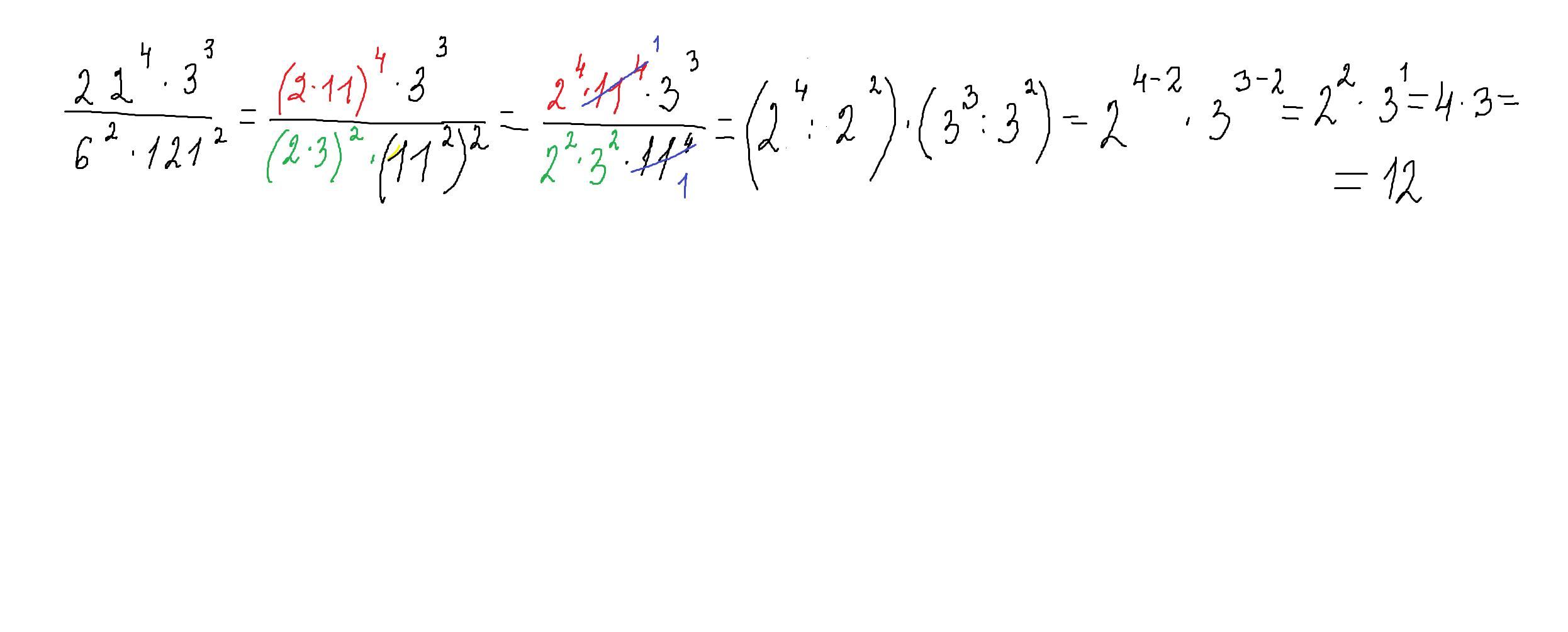
(22^4x3^3)/(6^2x121^2) Расскажите пожалуйста как сделать это деление
mic61:
((11*2)^2*3^3)/((3*2)^2*(11^2)2)=(11^4*2^4*3^3)/(3^2*2^2*11^4)=2^2*3=4*3=12
Ответы
Автор ответа:
1
Ответ:
12
Пошаговое объяснение:
упрощаем и записываем степени,с одинаковым основанием.При делении степеней,с одинаковым основанием показатели вычитаются.
Черта дроби это тот же знак деления.
Приложения:
Спасибо огромное!)
пожалуйста
Похожие вопросы
Предмет: Русский язык,
автор: muza217
Предмет: Русский язык,
автор: halikova201402
Предмет: Русский язык,
автор: пмр2003
Предмет: Биология,
автор: 64регион
Предмет: Алгебра,
автор: podolsckyroma2