Предмет: Физика, автор: amigist

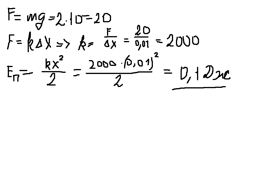
Груз массой 2кг,положенный на легкую чашу пружинных бытовых весов, сжимает пружину на 10 мм. Чему равна потенциальная энергия сжатой пружины?

Ответы

Автор ответа: artur1996artur
0
решение в вкладке сеизу
Приложения:
Похожие вопросы
Предмет: Другие предметы, автор: RODOBORMine
Тест по теме : «Строгание древесины» 6 класс

1. Как называется технологическая операция, придание заготовки определенной формы и размера?
а) пиление;
б) точение;
в) строгание;
г) шлифование.
б
2. Какая из пород древесины не является хвойной?
а) сосна;
б) кедр;
в) пихта;
г) ольха.

3. Что такое торец?
а) широкая плоскость материала;
б) поперечная плоскость пиломатериала;
в) линия, образованная пересечением плоскостей.

4. Какая форма режущей кромки у ножа шерхебеля?
а. прямолинейная
б. дугообразная
в. скошенная

5. Как называется прорезь, через которую выступает резец и выходит стружка?
а. лоток
б. леток
в. гнездо

6. Кто заготавливает древесину?
а) лесничества;
б) лесхозы;
в) егеря;
г) лесники.

7. Наибольшая по площади часть доски называется ?
а) кромка;
б) торец;
в) пласть.
г) ребро.

8. Разметка детали производится в …?
а) в дециметрах;
б) в сантиметрах;
в) миллиметрах;
г) метрах.

8. Обработка длинных досок для получения ровных поверхностей осуществляется ?
а) рубанком;
б) зензубелем;
в) шерхебелем;
г) фуганком.

9. Для чернового строгания используют?
а) рубанок;
б) фуганок;
в) шерхебель;
г) топор.

10. Как проверяют остроту ножа рубанка?
а) пальцами рук;
б) с помощью линейки;
в) на глаз;

11. Как называется корпус рубанка?
а. прямоугольник
б. колодка
в. подошва
г. станина
Предмет: Математика, автор: merejzadyrasnova82
Предмет: Алгебра, автор: Mary153