Предмет: Алгебра,
автор: alenavilda95
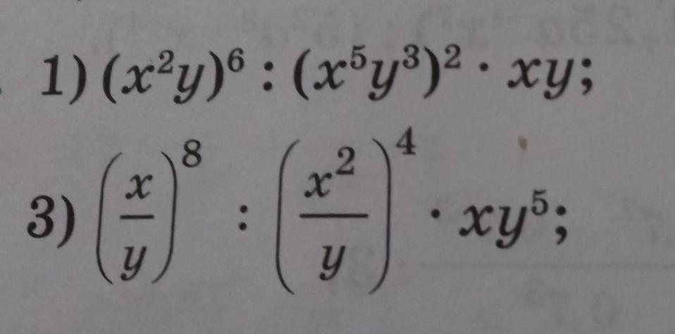
помогите решить примеры плиз
Приложения:
Ответы
Автор ответа:
0
Ответ прост.
Объяснение тут как тут:
alenavilda95:
спасибочки
Похожие вопросы
Предмет: Русский язык,
автор: nikachesnokova
Предмет: Русский язык,
автор: yuikonogami
Предмет: Русский язык,
автор: anzhelika161002
Предмет: Физика,
автор: kjaegrkj
Предмет: Математика,
автор: nasta43213