Предмет: Алгебра,
автор: MariaRaider24
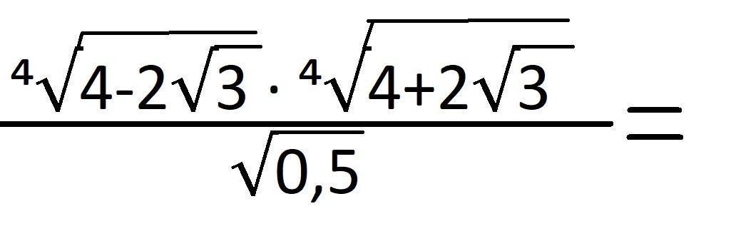
Вычислите ⁴√4-2√3 · ⁴√4+2√3 / √0,5=
Приложения:
Ответы
Автор ответа:
0
вот держи,если что-то не понятно пиши
Приложения:
Похожие вопросы
Предмет: Английский язык,
автор: shepitchak8181
Предмет: Русский язык,
автор: kerimli1
Предмет: Русский язык,
автор: мамка1234552
Предмет: Математика,
автор: vbjvgjfvgj
Предмет: География,
автор: bear71