Предмет: Алгебра,
автор: abylkasymovameerimaj
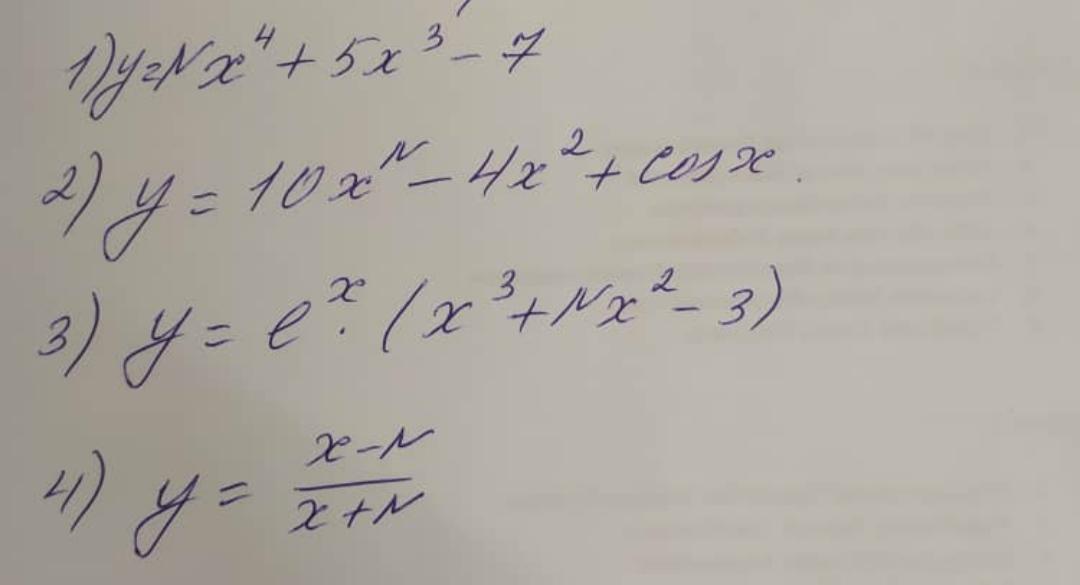
Найти производные функции.
Вместо N написать 2!!!!
Пожалуйста помогите решить за 10 мин очень очень срочно
Дам 35 баллов!
Приложения:
Ответы
Автор ответа:
1
Ответ:
Объяснение:
фото
Приложения:
abylkasymovameerimaj:
большое вам спасибо
Похожие вопросы
Предмет: Русский язык,
автор: katyamironova5
Предмет: Українська мова,
автор: 0973550282
Предмет: Другие предметы,
автор: dorogay11
Предмет: Биология,
автор: katyamronova
Предмет: Математика,
автор: Nastasia2017