Предмет: Математика,
автор: mparfenova99
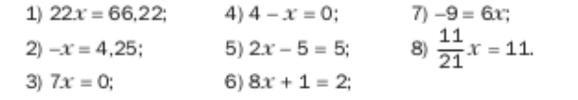
Решите уравнения
Очень СРООООЧНОООО
Приложения:
Ответы
Автор ответа:
5
Пошаговое объяснение:
Решение на фото............
Приложения:
Похожие вопросы
Предмет: Русский язык,
автор: Некита
Предмет: Русский язык,
автор: Marshuk
Предмет: Русский язык,
автор: sulima64
Предмет: Алгебра,
автор: belover
Предмет: Математика,
автор: timofeevadarya