Предмет: Геометрия,
автор: greenpeace521
ПОМОГИТЕ РЕШИТЬ! ОЧЕНЬ НАДО СРОЧНО.
Ответ: ___ корень из 2 в метрах
ПРОШУ ПОЖАЛУЙСТА ПОЖАЛУЙСТА ПОМОГИТЕ
Приложения:
Ответы
Автор ответа:
1
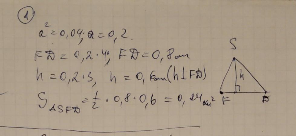
Ответ:
FK=0,004√2 м
Объяснение:
решение во вложении (2 фото)
Приложения:
Похожие вопросы
Предмет: Английский язык,
автор: eark
Предмет: Русский язык,
автор: katybel026
Предмет: Английский язык,
автор: XCOR
Предмет: Литература,
автор: Аноним
Предмет: Алгебра,
автор: jeanny31