Предмет: Математика,
автор: Лауврушка
Хелпаните объяснение по братски
Приложения:
Ответы
Автор ответа:
1
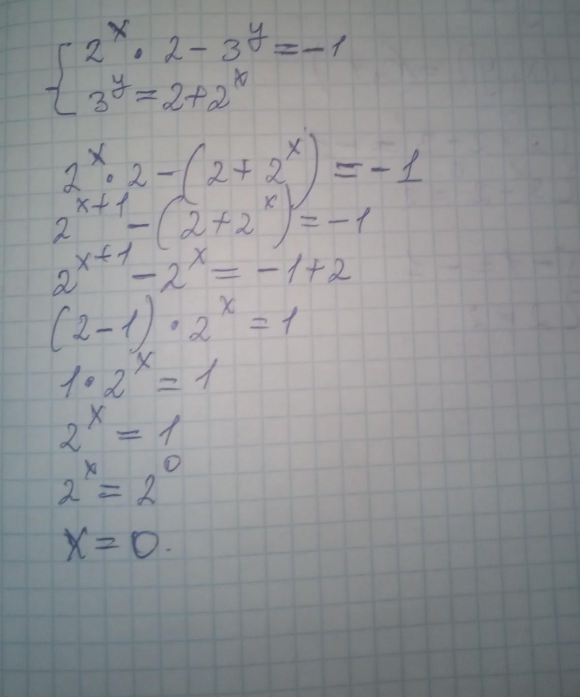
Ответ:
отметь мой ответ лучшим и получишь треть баллов обратно
и ты хелпани мне подпишись на меня пжжж)))
Приложения:
Похожие вопросы
Предмет: Русский язык,
автор: Меруль
Предмет: Українська мова,
автор: nataliya0104841
Предмет: Русский язык,
автор: globus0021
Предмет: Геометрия,
автор: CeUa
Предмет: Алгебра,
автор: DimaDonchenko