Предмет: Алгебра,
автор: fgjjv26
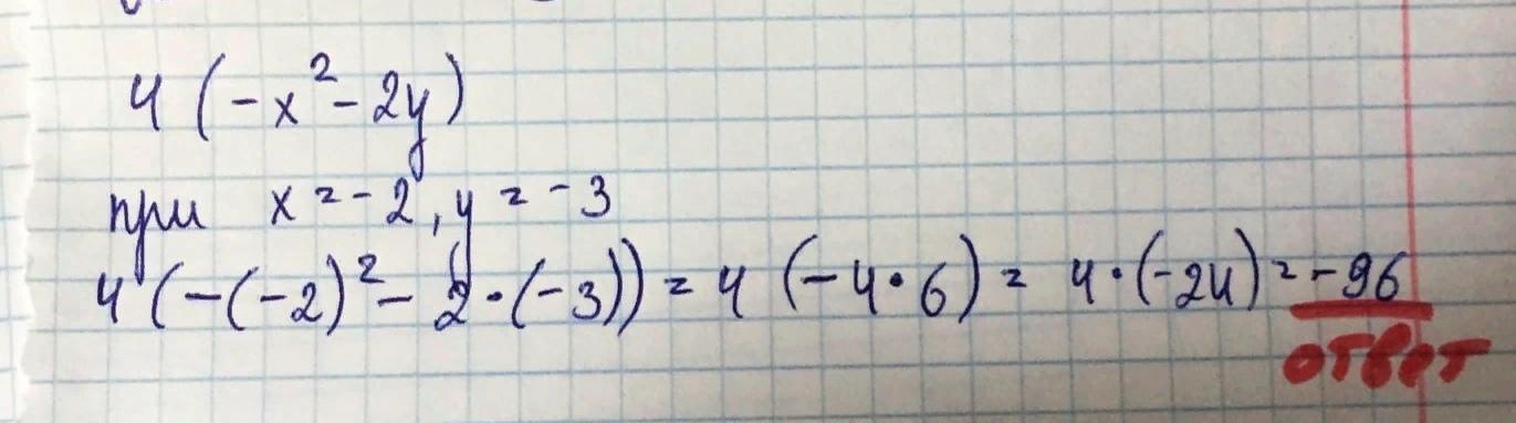
4(-x2-2y) при x=-2 y=-3
Ответы
Автор ответа:
1
Ответ:
-8
Объяснение:
4(-2x-2y)= -8x-8y=-8x×(-2)-(-8y)×(-3)=16-24= -8
fgjjv26:
спасибо
Автор ответа:
1
Ответ:
Объяснение:
Подробно в файле, удачи
Приложения:
Похожие вопросы
Предмет: Русский язык,
автор: 234663
Предмет: Русский язык,
автор: kankulovamadin
Предмет: Русский язык,
автор: crocky
Предмет: Алгебра,
автор: lenochka0panda