Предмет: Математика,
автор: liyarak
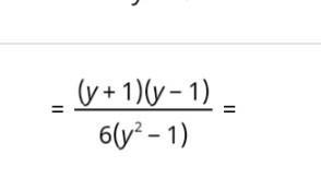
упростите выражение
Приложения:
Ответы
Автор ответа:
1
Ответ:
Похожие вопросы
Предмет: Другие предметы,
автор: ladaivshina021
Предмет: Другие предметы,
автор: Katrin2032
Предмет: Английский язык,
автор: vitabrezhneva5
Предмет: Физика,
автор: ellyreyder