Предмет: Математика,
автор: mrgaggag2015
Помогите пожалуйста решить.
Приложения:
Ответы
Автор ответа:
1
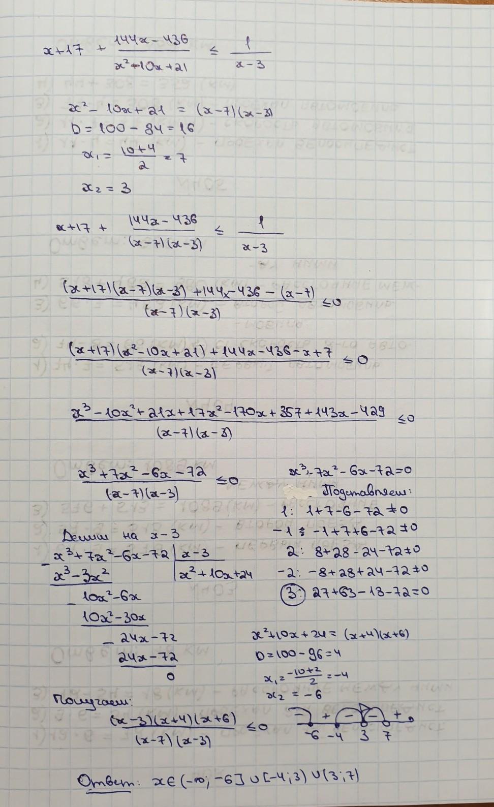
Ответ:
решение на фотографии
Пошаговое объяснение:
когда многочлен с x со старшей степенью 3 довели до конечного вида, применяем теорему Безу: подбираем делители -72, но я не стала их все записывать, и по очереди подставляем в многочлен. Нужно, чтобы получилось 0. В итоге подходит тройка значит подходит x=3. Делим многочлен на x-3. Дальше решаем с помощью интервалов
Приложения:
mrgaggag2015:
Благодарю
Похожие вопросы
Предмет: Русский язык,
автор: AnEкA
Предмет: Русский язык,
автор: Altynn
Предмет: Русский язык,
автор: Алина00000000090
Предмет: Геометрия,
автор: rodikit1
Предмет: Математика,
автор: mickraizer