Предмет: Алгебра,
автор: artemrokitenec
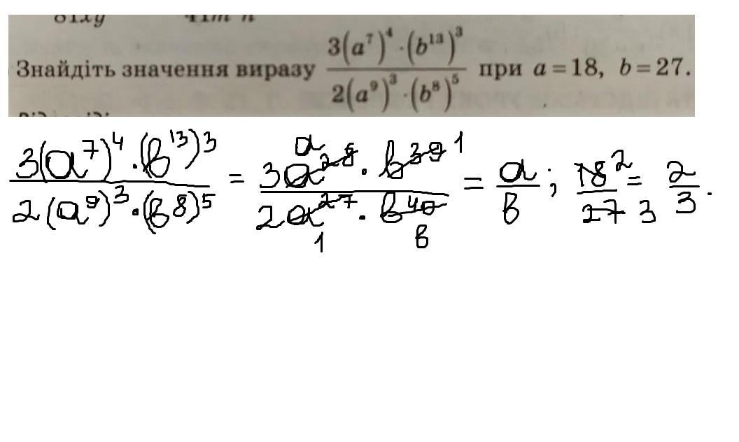
помогите пожалуйста объясните
Приложения:
Ответы
Автор ответа:
1
/////////////////////////////////
Приложения:
Похожие вопросы
Предмет: Русский язык,
автор: zuiev
Предмет: Русский язык,
автор: vika15042006
Предмет: Русский язык,
автор: Khasano
Предмет: Математика,
автор: иддпа
Предмет: Алгебра,
автор: алина3546