Предмет: Геометрия,
автор: Аноним
ПОЖАЛУЙСТА ПОМОГИТЕ !!!! Я УЖЕ НЕ ЗНАЮ КТО МОЖЕТ ПОМОЧЬ, ПРОШУУУ
Приложения:
Ответы
Автор ответа:
1
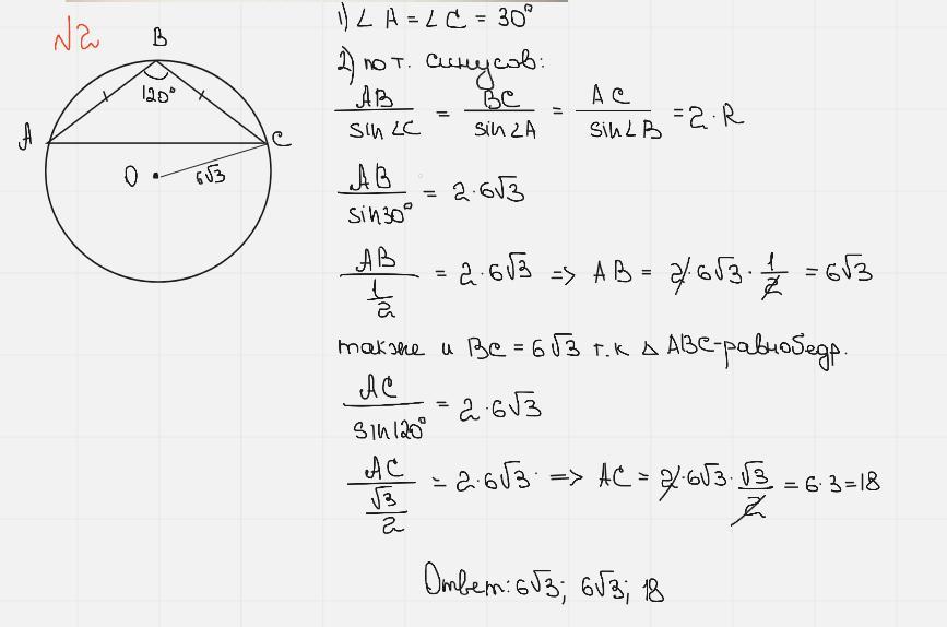
Ответ:
Решение 2,3,4 задачи
Объяснение:
1-я что-то не получилась.
Приложения:
Похожие вопросы
Предмет: Английский язык,
автор: Аноним
Предмет: Английский язык,
автор: risha007
Предмет: Українська мова,
автор: Юлька2727
Предмет: Геометрия,
автор: Miron1823
Предмет: География,
автор: liza1059