Предмет: Математика,
автор: andreevnazinaida68
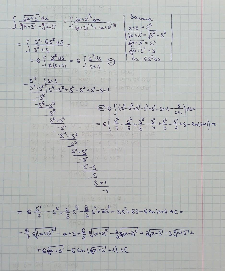
Помогите пожалуйста решить неопределенный интеграл
Приложения:
Ответы
Автор ответа:
0
Ответ:
решение на фотографии
Приложения:
andreevnazinaida68:
Фотография не прикрепилась
Похожие вопросы
Предмет: Русский язык,
автор: bosakevgenij
Предмет: Русский язык,
автор: mantonuk3005
Предмет: Русский язык,
автор: sabina2002
Предмет: Математика,
автор: CryWolf
Предмет: Биология,
автор: Марияув