Предмет: Алгебра,
автор: popr1995
Пожалуйста помогите умоляю срочно
Приложения:
Ответы
Автор ответа:
0
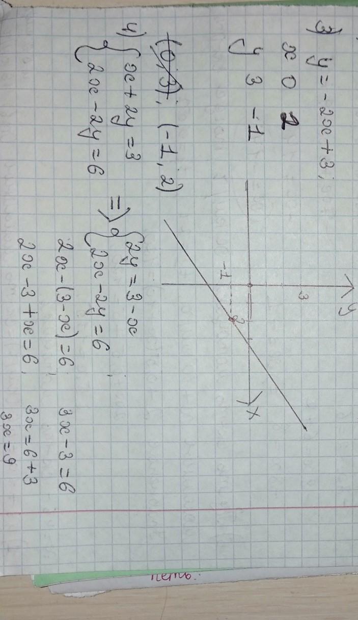
Все ответы во вложении.....
Приложения:
Похожие вопросы
Предмет: Английский язык,
автор: elenahegay
Предмет: Русский язык,
автор: omirzakovanurai
Предмет: Русский язык,
автор: Anastasia234
Предмет: Математика,
автор: situnya