Предмет: Алгебра,
автор: Аноним
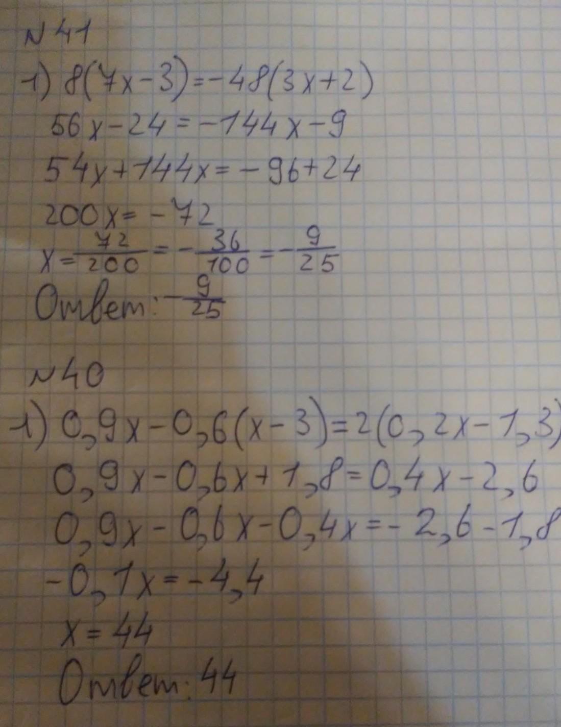
40 41 42
Памагити 100 б. Даю
Приложения:
Ответы
Автор ответа:
1
Ответ:
могу только это простиии
Приложения:
Похожие вопросы
Предмет: Русский язык,
автор: Катюша000Катя
Предмет: Українська мова,
автор: svitlankaivano
Предмет: Русский язык,
автор: nasibullin991
Предмет: Алгебра,
автор: landrik
Предмет: Геометрия,
автор: Lulu3578