Предмет: Алгебра,
автор: kamilaahmedovatm
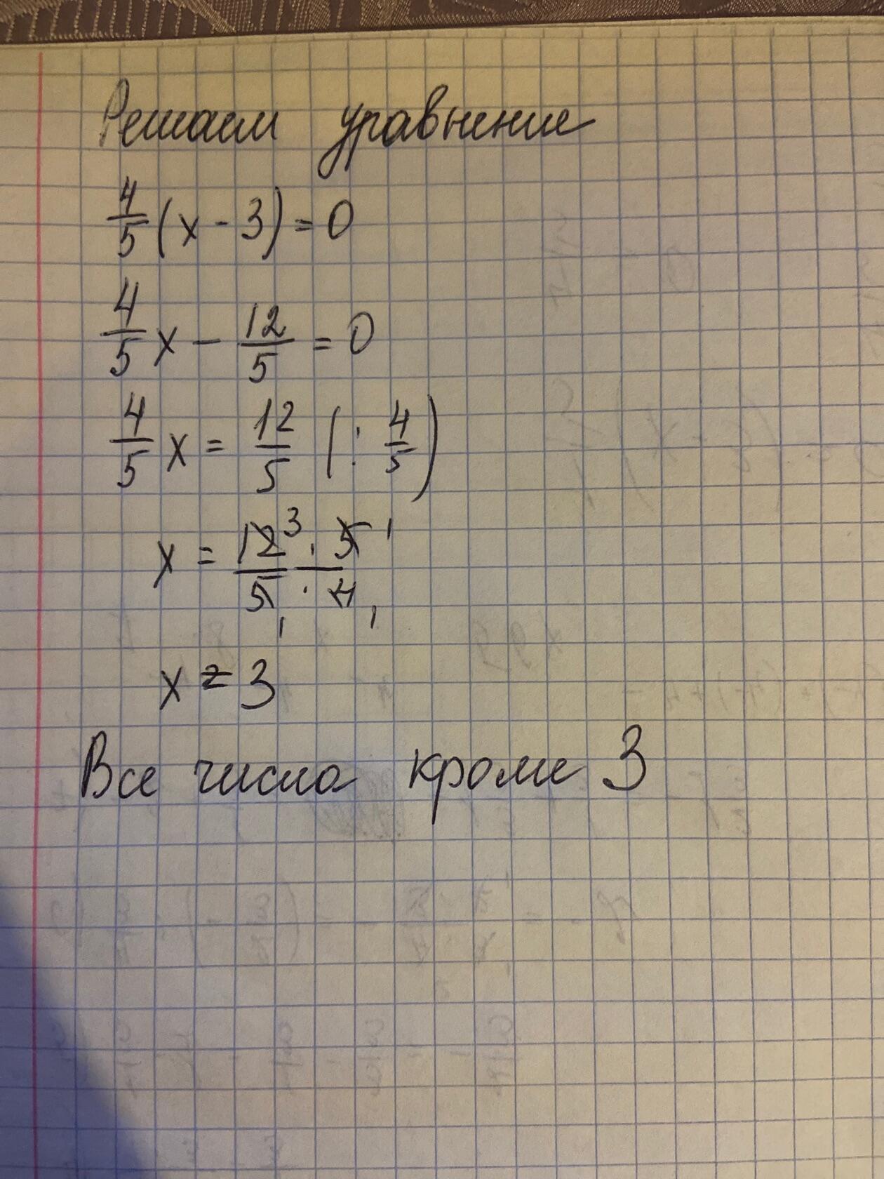
Найдите область определения функции 4/5(х-3).срочно!!!!даю 10 баллов
Ответы
Автор ответа:
1
Ответ:
решила
Объяснение:
Приложения:
Похожие вопросы
Предмет: Другие предметы,
автор: EProxy
Предмет: Английский язык,
автор: Sockova98
Предмет: Русский язык,
автор: garikanna
Предмет: Алгебра,
автор: Zeemaa26
Предмет: Алгебра,
автор: talantbekova17