Предмет: Алгебра,
автор: KylanMbappe
ПОМОГИТЕЕЕЕ ОТДАМ 60 БАЛЛОВ АЛГЕБРА
Приложения:
Ответы
Автор ответа:
2
Ответ:
Объяснение:
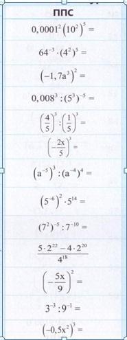
1) 10^2
2)64^-3*(4^2)^5
4^-9*4^10=4
3)(-1.7a^3)^2=(-1,7)^2*x^6
1.7^2*x^6
2.89x^6
4)0.008^3/(5^3)^-5
5^-9/5^-15=5^6
5) (4/5)^3/(1/5)^3=((4/5)(1/5))^3=4^3=64
6)-8x^3/125
7)x
8)25
9) 1
10)1/4096
11)25x^2/81
12)1/3
13)-0.125x^6
Похожие вопросы
Предмет: Русский язык,
автор: alish011
Предмет: Русский язык,
автор: budsosvetom
Предмет: Другие предметы,
автор: асадуллаев
Предмет: Физика,
автор: имян
Предмет: Физика,
автор: NickRossi