Предмет: Математика,
автор: Аноним
100 баллов , сделаю ответ лучшим, пжлст,помогите)
Приложения:
Аноним:
это 7 класс?
Ответы
Автор ответа:
2
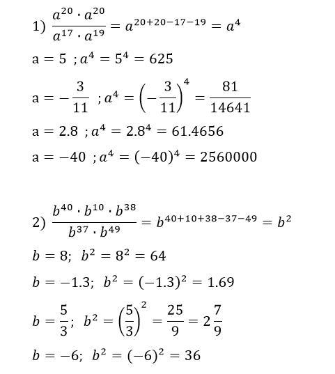
Ответ:
1.
1)625
2)81/14641
3)61 291/625
4)2560000
2.
1)64
2)1,69
3)2 7/9
4)36
Приложения:
во 2) есть еще b=-6
Автор ответа:
3
Ответ:
Пошаговое объяснение:
////////////////////////////////////////////////
Приложения:
Похожие вопросы
Предмет: Русский язык,
автор: uvarovskayakat
Предмет: Русский язык,
автор: strokovaolgha
Предмет: Русский язык,
автор: дз1234
Предмет: Алгебра,
автор: sabhalilova
Предмет: Литература,
автор: dva100305